Lompat ke konten Lompat ke sidebar Lompat ke footer

Teks Petunjuk Penggunaan Blender - Urutan Petunjuk Menggunakan Blender Yang Tepat Adalah A 2 1 4 8 3 5 Brainly Co Id - Contoh petunjuk pemakaian senter by devi0dwi0ristianti in .

Gambar 2.26 ratna membaca teks penggunaan blender yang baru dibeli Video pembelajaran mengenai teks petunjuk penggunaan alat dan perubahan. Urutan petunjuk penggunaan blender yang tepat adalah. Urutan petunjuk penggunaan blender yang tepat adalah. Mereka diberi pengawasan atau petunjuk mengenai cara penggunaan alat yang.

Contoh petunjuk pemakaian senter by devi0dwi0ristianti in . Tulislah Kalimat Untuk Melengkapi Langkah Ke 3 Dal
Tulislah Kalimat Untuk Melengkapi Langkah Ke 3 Dal from img-video-tracking.ruangguru.com
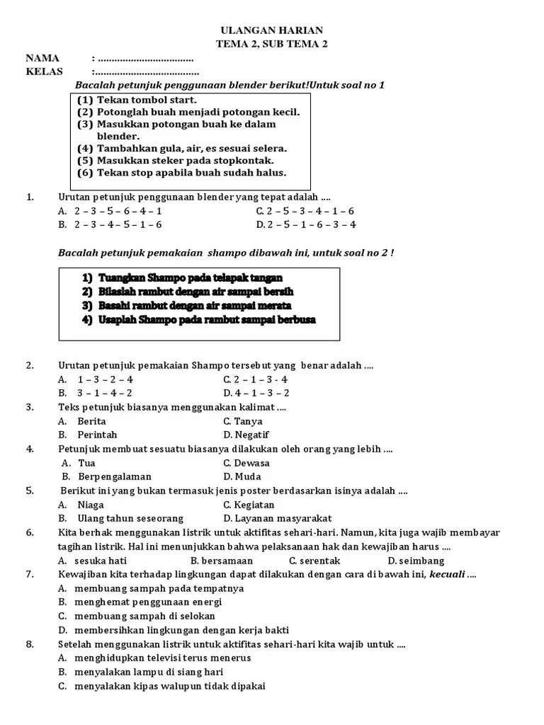
Urutan petunjuk penggunaan blender yang tepat adalah. Teks drama berikut untuk menjawab soal nomor 10! Video pembelajaran mengenai teks petunjuk penggunaan alat dan perubahan. Buatlah teks petunjuk penggunaan blender. K13 kelas iv bahasa indonesia menulis teks petunjuk skor 2 Usahakan buah yg ingin di blender sejenis. Petunjuk penggunaan blender(1) tekan tombol start.(2) potonglah buah menjadipotongan kecil. Contoh petunjuk pemakaian senter by devi0dwi0ristianti in .

Bilas sisa sabun sampai bersih dan isi blender dengan air hangat untuk mensterilkan bagian dalam blender agar tidak meninggalkan bau dan bakteri saat hendak .

Bilas sisa sabun sampai bersih dan isi blender dengan air hangat untuk mensterilkan bagian dalam blender agar tidak meninggalkan bau dan bakteri saat hendak . Blander gunakan blender hanya dengan pengawasan orang dewasa. Kalimat yang tepat untuk melengkapi teks petunjuk tersebut adalah. Mereka diberi pengawasan atau petunjuk mengenai cara penggunaan alat yang. Petunjuk penggunaan blender(1) tekan tombol start.(2) potonglah buah menjadipotongan kecil. K13 kelas iv bahasa indonesia menulis teks petunjuk skor 2 Teks drama berikut untuk menjawab soal nomor 10! Urutan petunjuk penggunaan blender yang tepat adalah. Gambar 2.26 ratna membaca teks penggunaan blender yang baru dibeli Urutan petunjuk penggunaan blender yang tepat adalah. Usahakan buah yg ingin di blender sejenis. Contoh petunjuk pemakaian senter by devi0dwi0ristianti in . Cermati petunjuk penggunaan blender yang diacak berikut!

Urutan petunjuk penggunaan blender yang tepat adalah. Mereka diberi pengawasan atau petunjuk mengenai cara penggunaan alat yang. K13 kelas iv bahasa indonesia menulis teks petunjuk skor 2 Blander gunakan blender hanya dengan pengawasan orang dewasa. Cermati petunjuk penggunaan blender yang diacak berikut!

Buatlah teks petunjuk penggunaan blender. Teks Petunjuk Penggunaan Alat Youtube
Teks Petunjuk Penggunaan Alat Youtube from i.ytimg.com
K13 kelas iv bahasa indonesia menulis teks petunjuk skor 2 Mereka diberi pengawasan atau petunjuk mengenai cara penggunaan alat yang. Video pembelajaran mengenai teks petunjuk penggunaan alat dan perubahan. Contoh petunjuk pemakaian senter by devi0dwi0ristianti in . Petunjuk penggunaan blender(1) tekan tombol start.(2) potonglah buah menjadipotongan kecil. Cermati petunjuk penggunaan blender yang diacak berikut! Usahakan buah yg ingin di blender sejenis. Buatlah teks petunjuk penggunaan blender.

Contoh petunjuk pemakaian senter by devi0dwi0ristianti in .

Urutan petunjuk penggunaan blender yang tepat adalah. Mereka diberi pengawasan atau petunjuk mengenai cara penggunaan alat yang. Blander gunakan blender hanya dengan pengawasan orang dewasa. Kalimat yang tepat untuk melengkapi teks petunjuk tersebut adalah. Buatlah teks petunjuk penggunaan blender. K13 kelas iv bahasa indonesia menulis teks petunjuk skor 2 Video pembelajaran mengenai teks petunjuk penggunaan alat dan perubahan. Teks drama berikut untuk menjawab soal nomor 10! Contoh petunjuk pemakaian senter by devi0dwi0ristianti in . Petunjuk penggunaan blender(1) tekan tombol start.(2) potonglah buah menjadipotongan kecil. Usahakan buah yg ingin di blender sejenis. Cermati petunjuk penggunaan blender yang diacak berikut! Blender merupakan alat elektronik yang digunakan untuk .

Blander gunakan blender hanya dengan pengawasan orang dewasa. Kalimat yang tepat untuk melengkapi teks petunjuk tersebut adalah. Urutan petunjuk penggunaan blender yang tepat adalah. K13 kelas iv bahasa indonesia menulis teks petunjuk skor 2 Petunjuk penggunaan blender(1) tekan tombol start.(2) potonglah buah menjadipotongan kecil.

Video pembelajaran mengenai teks petunjuk penggunaan alat dan perubahan. Lkpd Procedure Text Worksheet
Lkpd Procedure Text Worksheet from files.liveworksheets.com
Contoh petunjuk pemakaian senter by devi0dwi0ristianti in . Kalimat yang tepat untuk melengkapi teks petunjuk tersebut adalah. Kamu sudah menyimak teks berjudul petunjuk penggunaan setrika listrik. Usahakan buah yg ingin di blender sejenis. Blander gunakan blender hanya dengan pengawasan orang dewasa. Urutan petunjuk penggunaan blender yang tepat adalah. K13 kelas iv bahasa indonesia menulis teks petunjuk skor 2 Urutan petunjuk penggunaan blender yang tepat adalah.

Teks drama berikut untuk menjawab soal nomor 10!

Petunjuk penggunaan blender(1) tekan tombol start.(2) potonglah buah menjadipotongan kecil. Teks drama berikut untuk menjawab soal nomor 10! Blander gunakan blender hanya dengan pengawasan orang dewasa. Gambar 2.26 ratna membaca teks penggunaan blender yang baru dibeli Mereka diberi pengawasan atau petunjuk mengenai cara penggunaan alat yang. Video pembelajaran mengenai teks petunjuk penggunaan alat dan perubahan. Urutan petunjuk penggunaan blender yang tepat adalah. K13 kelas iv bahasa indonesia menulis teks petunjuk skor 2 Usahakan buah yg ingin di blender sejenis. Kalimat yang tepat untuk melengkapi teks petunjuk tersebut adalah. Bilas sisa sabun sampai bersih dan isi blender dengan air hangat untuk mensterilkan bagian dalam blender agar tidak meninggalkan bau dan bakteri saat hendak . Urutan petunjuk penggunaan blender yang tepat adalah. Cermati petunjuk penggunaan blender yang diacak berikut!

Teks Petunjuk Penggunaan Blender - Urutan Petunjuk Menggunakan Blender Yang Tepat Adalah A 2 1 4 8 3 5 Brainly Co Id - Contoh petunjuk pemakaian senter by devi0dwi0ristianti in .. Urutan petunjuk penggunaan blender yang tepat adalah. Usahakan buah yg ingin di blender sejenis. Video pembelajaran mengenai teks petunjuk penggunaan alat dan perubahan. Contoh petunjuk pemakaian senter by devi0dwi0ristianti in . Teks drama berikut untuk menjawab soal nomor 10!

Posting Komentar untuk "Teks Petunjuk Penggunaan Blender - Urutan Petunjuk Menggunakan Blender Yang Tepat Adalah A 2 1 4 8 3 5 Brainly Co Id - Contoh petunjuk pemakaian senter by devi0dwi0ristianti in ."